ME Foundation Bylaws
As adopted by the Foundation on December 10 2024
1. Mission.
The mission of the Foundation is to foster, develop, authorize and/or govern the functions of the community associated with ME DAO. While the Foundation is tasked with stewarding the ME DAO into a decentralized ecosystem governed by the principles of Web 3.0, it is each Tokenholder’s responsibility to further develop it and propose and debate proposals to guide the long-term strategy of the Foundation and the ME DAO. ME DAO may decide to further missions of the Foundation from time to time. The mission of the Foundation includes, but is not limited to (collectively, the “Mission”):
- enabling and stewarding the development and drive adoption of the protocols and open source code that will power the future of digital ownership;
- fostering ecosystem growth and protocol adoption through strategic grants to partner projects including to the creators, artists, brands, creative studios, infrastructure providers, application developers, and strategic growth partners; and
- organizing educational initiatives, including organizing and hosting events to increase awareness of the protocols and technologies held by the ME DAO.
2. Defined Terms.
- “Administrative Budget Wallet” means the account that contains ME DAO approved Foundation assets (as well as other assets contributed to or acquired by the Administrative Budget Wallet), which will be utilized by the Foundation for purposes of operational and administrative costs as well as ecosystem growth of the ME DAO.
- “Administrator” means the administrator of the ME DAO, which has certain powers and duties as described in these Bylaws and the ME DAO Constitution.
- “Bylaws” means these governing bylaws of the Foundation, (as may be amended, revised, or substituted from time to time).
- “Cayman Islands Law” means the rules, regulations and laws of the Cayman Islands from time to time.
- “Foundation” means the ME Foundation, a Cayman Islands foundation company
- “Foundation Articles” means the Amended and Restated Memorandum of Association and Articles of Association of the Foundation, (and as may be amended, revised or substituted from time to time).
- “Foundation Directors” means the director(s) of the Foundation, which have certain powers and duties pursuant to Cayman Islands Law and as further described in the Foundation Articles.
- “Foundation Documents” mean these Bylaws, ME DAO Constitution and the Foundation Articles.
- “Foundation Representative(s)” means the Foundation Directors, Foundation Supervisor, Foundation Secretary and the Administrator. For the avoidance of doubt, no Foundation Representative may take actions, directly or indirectly, which violate Cayman Islands Law and/or any other applicable law.
- "Foundation Secretary" means the secretary of the Foundation (as appointed from time-to-time) which has certain powers and duties under Cayman Islands Law and as further described in the Foundation Articles."
- “Foundation Supervisor” means the supervisor of the Foundation (as appointed from time-to-time), which has certain powers and duties pursuant to Cayman Islands Law and as further described in the Foundation Articles.
- “ME DAO” means, collectively, the decentralized community of persons that own the Token.
- “ME DAO Constitution” means the Constitution of the ME DAO attached as Schedule 1 hereto.
- “ME Governance Forum” means a ME DAO forum page designated by the Foundation, which initially shall be located at https://github.com/me-foundation/mip.
- "ME Network” means the different open-sourced smart contracts and protocols that have been adopted by the ME DAO, and that may be adopted by the ME DAO from time-to-time, which enable users to engage with digital collectibles and assets, including the following:
- in the case of Solana, the following protocols with the relevant contract addresses:
A. M2: M2mx93ekt1fmXSVkTrUL9xVFHkmME8HTUi5Cyc5aF7K;
B. MMM: mmm3XBJg5gk8XJxEKBvdgptZz6SgK4tXvn36sodowMc;
C. CMX: CMZYPASGWeTz7RNGHaRJfCq2XQ5pYK6nDvVQxzkH51zb;
D. OCP: ocp4vWUzA2z2XMYJ3QhM9vWdyoyoQwAFJhRdVTbvo9E; and
E. M3: M3mxk5W2tt27WGT7THox7PmgRDp4m6NEhL5xvxrBfS1; - in the case of EVM, the following:
A. ERC721M: open source software code to allow creators to conduct the initial launch of their relevant digital collectibles collection; and
B. Trusted Forwarder: open source software code to attribute certain digital collectibles secondaries transactions to a particular front-end graphical user interface; and - in the case of Bitcoin, the following:
A. MSigner: open source software code to facilitate primary and secondary transactions for Bitcoin Ordinals digital collectibles.
- in the case of Solana, the following protocols with the relevant contract addresses:
- “ME Resolution” means an MIP which has been successfully passed in accordance with these Bylaws.
- “MIP” means an improvement proposal put forth by a Tokenholder to a vote in accordance with the MIP Process.
- “MIP Process” means the rules and procedures of submitting and voting on MIPs as described in the ME DAO Constitution, as may be amended from time to time.
- “Security Council” means the council established in accordance with Section 4 of these Bylaws.
- “Security Council Member(s)” means the members(s) appointed to the Security Council in accordance with Section 4(a).
- “Security Council Vote” means a vote of Security Council Members in accordance with these Bylaws.
- “Security Threat” means any imminent security threats to the ME DAO, the ME Network, the Token, the Tokenholders, or the Foundation, including any security threat that is a critical vulnerability that could significantly impact Tokenholders, compromise the integrity, confidentiality or availability of the ME Network, the Treasury, the Token, or the operation of the ME DAO.
- “Token” means the governing token of ME DAO, known as $ME, represented by the following genesis smart contract address: MEFNBXixkEbait3xn9bkm8WsJzXtVsaJEn4c8Sam21u
- “Tokenholder” means any holder of the Token.
- "Tokenholder Vote” means a vote of the Tokenholders that is validly proposed and executed in accordance with the Foundation Documents.
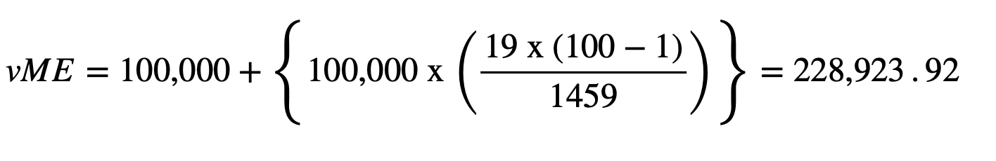
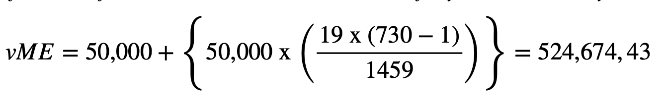
- “vME” means a staked and non-transferrable representation of the Token that represents a Tokenholder’s voting power for a MIP, calculated in accordance with the following:

Note: the Number of days staked is a minimum of 1 day and a maximum of 1,460 days.
Worked Example 1:
If Number of staked Tokens = 100,000 and Number of days staked = 100 days, then:

Worked Example 2:
If Number of staked Tokens = 50,000 and Number of days staked = 730 days, then:

3. Voting Matters.
- Tokenholders Voting Matters. Pursuant to the Foundation Documents (in particular, the MIP Process set out in the ME DAO Constitution), the Tokenholders may propose, vote and approve the following categories of MIPs:
- Treasury MIP: allocation of developer grants, funds and incentives from the Foundation’s on-chain treasury in furtherance of the Mission (the “Treasury”);
- ME Network Development MIP: code contributions and adjustments, protocol fees and features, developer relations and growth of the ME Network;
- Foundation MIP: changes to the composition of the Foundation Directors, the Foundation Supervisor, the Administrator, the Foundation Secretary or the Security Council Members and any changes to the Foundation (including any proposal to wind-up the Foundation);
- Procedural MIP: changes to voting procedures, governance tools and guidelines, including changes to the MIP Process and the Foundation Documents;
- Operations MIP: special initiatives relating to branding, marketing, and operations of the Foundation; and
- Miscellaneous MIP: any initiatives that fall outside the foregoing MIP categories.
- Foundation Directors Voting Matters. The Foundation Directors may engage in any activity which, in their reasonable discretion, does not contradict the terms set forth in any MIP approved by Tokenholders or the Foundation Documents, including but not limited to the following actions:
- approving transactions from the Administrative Budget Wallet;
- co-ordinating emergency operations with the Security Council on behalf of the ME DAO or the Foundation;
- creating and administering an ecosystem growth plan with a corresponding set of criteria and objectives;
- making changes to these Bylaws if the Foundation Directors believe such changes would improve the Foundation Directors’ ability to fulfill their obligations (the “Amendment Authority”). Foundation Directors must act in good faith to exercise such Amendment Authority pursuant to a director’s resolution. If and only if exercise of such Amendment Authority conflicts or alters the rights of Tokenholders as described in these Foundation Documents, exercise of such Amendment Authority shall be made pursuant to the MIP Process unless such Amendment Authority must be exercised at an Emergency Meeting as described in Section 3(b)(v);
- calling and holding emergency meetings ("Emergency Meetings") to enable the Foundation Directors and the Security Council to rapidly respond to a Security Threat, and the same rules that apply to Foundation Directors meetings in accordance with Articles 55-59 of the Foundation Articles will apply to Emergency Meetings, except that:
A. Emergency Meetings may be convened by the Security Council with prior notice to the Foundation Directors;
B. Foundation Directors must consent and/or ratify actions taken by the Foundation and/or the Security Council, including those taken pursuant to an Emergency Meeting;
C. there is no quorum requirement for an Emergency Meeting; and
D. the Foundation Directors will not publish minutes of an Emergency Meeting until the underlying Security Threat has been remedied or judged to no longer be a threat, at the discretion of the Foundation Directors and the Security Council.
- Foundation Directors and MIPs. If, following the approval of an MIP by the ME DAO, a majority of the Foundation Directors, or if there is only two (2) Foundation Directors, one (1) Foundation Director acting in the best interests of the Foundation reasonably determine(s) that such MIP, if implemented, would:
- compromise the Foundation Directors’ fiduciary duties as they are owed to the Foundation;
- be in violation of the Foundation Documents, the MIP Process, any statutory requirements of Cayman Islands Laws and/or the laws and/or regulations of any other applicable jurisdiction;
- cause the Foundation to be in breach of any contracts, agreements or any other arrangements; and/or
- be against the best interests of the Foundation,
then such Foundation Director(s) may direct the Security Council or take such other steps as are required to reject or limit such MIP.
4. Security Council.
- Appointment and Composition of the Security Council Members
- The Security Council shall consist of five (5) members who shall be initially appointed by the Foundation Directors by directors’ resolution (the "Security Council Members" and each a "Security Council Member"), each for a term of four (4) years in accordance with the Foundation Articles. After the initial four (4) year term, the Security Council shall comprise of at least five (5) Security Council Members who are appointed by Tokenholders by Tokenholder Vote at regular four (4) year intervals unless otherwise replaced or removed prior to the end of their current term in accordance with these Bylaws and the other Foundation Documents.
- Foundation Director Security Council Member
- One (1) Security Council Member shall be appointed as a Foundation Director (“Foundation Director Security Council Member”), and such individual shall be initially appointed by the Foundation Directors by directors' resolution, for a term of four (4) years in accordance with the Foundation Articles. After the initial four (4) year term, the Foundation Director Security Council Member so appointed shall be appointed by the Tokenholders by Tokenholder Vote at regular four (4) year intervals, unless otherwise replaced or removed prior to the end of their current term in accordance with these Bylaws and the other Foundation Documents.
- In the event that: (i) the Foundation Director Security Council Member is not willing or cannot serve as a Security Council Member; and (ii) there are not at least five (5) appointed Security Council Members, a fifth Security Council Member shall be elected by Tokenholders by Tokenholder Vote (a “Replacement Vote”), and the Foundation Director Security Council Member shall continue to serve as the Foundation Director Security Council Member until the Replacement Vote occurs. If no Foundation Director is willing to serve as a Security Council Member, then the Replacement Vote shall elect an interim Security Council Member who is not a Foundation Director (the “Interim Member”). The Interim Member will serve on the Security Council as a Security Council Member until such time as a replacement Foundation Director is appointed as the Foundation Director Security Council Member pursuant to a Replacement Vote (replacing the Interim Member with the newly-established Foundation Director Security Council Member).
- Procedures and Guidelines for Election to Security Council
- Following the initial Security Council election and prior to the next Security Council election, the Foundation may establish and set forth more detailed procedures and guidelines regarding the election process for the Security Council, which may include, but are not limited to, a candidate intake process in order to comply with Cayman Islands Law, a standard template for candidates to complete for purposes of a Tokenholder Vote, and other processes to ensure an orderly, fair and transparent election.
- Independence of Security Council
- As a matter of best practice for maintaining an independent Security Council, no single organization should be overly represented in the Security Council. In particular, there shall not be more than two (2) candidates associated with a single entity or group of entities elected to the Security Council, thereby ensuring that no single entity or group of entities control Security Council action.
- Removal of Security Council Members
- A Security Council Member may only be removed (such removed Security Council Member, a “Breaching Member”):
A. by the unanimous vote of the Foundation Directors if the Breaching Member is in violation of these Bylaws or fails to fulfill their duties to the Foundation (in each case as determined by the Foundation Directors), including those described in the Foundation Documents (the "Breach"), provided that such removal of a Breaching Member shall be conditioned by thirty (30) days’ prior written notice (the "Notice Period"). During the Notice Period, the Breaching Member may attempt to cure the Breach, with such cure attempt effective by unanimous vote of the Foundation Directors; or
B. pursuant to a Security Council Vote in accordance with Section 4(e)(ii) of these Bylaws or a Tokenholder Vote in accordance with Section 4(e)(iii) of these Bylaws. - Any removal and replacement of a Security Council Member pursuant to a Security Council Vote must be by unanimous vote of all other Security Council Members and adhere to the following process:
A. an action to remove a Security Council Member pursuant to Section 4(e) herein may be presented as a proposal by a non-breaching Security Council Member (a “Removal Proposal”) at a Regular Meeting;
B. a Removal Proposal will pass in accordance with the voting procedures set forth herein; and
C. if the Removal Proposal passes, the Security Council may choose to replace the Breaching Member with a new, interim Security Council Member to serve until the end of term of the replaced Security Council Member’s term. An action to add a new Security Council Member must be presented at a Regular Meeting (a “Replacement Proposal”). A Replacement Proposal will pass in accordance with the voting procedures set forth herein. - Any proposed removal of a Security Council Member by Tokenholders must have a voting quorum of at least 250,000,000 vME votes, and the number of “Yes” votes must be more than or equal to 60% of the total vME votes cast in order to remove a Security Council Member pursuant to a Tokenholder Vote which adheres to the following process:
A. an action to remove a Security Council Member may be presented by Tokenholders as an MIP (a “Tokenholder Removal Proposal”); and
B. if the Tokenholder Removal Proposal passes in accordance with the MIP Process, the Tokenholders may choose to replace the Breaching Member with a new Security Council Member. An action to add a new Security Council Member may be presented as an MIP and in accordance with the MIP Process.
- A Security Council Member may only be removed (such removed Security Council Member, a “Breaching Member”):
- Security Council Meetings
- Regular Meetings: The Security Council may convene every four (4) weeks, or at its discretion, subject to a reasonable amount of notice to Security Council Members (each, a “Regular Meeting”). Regular Meetings enable the Security Council to vote on MIPs and take any other acts within the Security Council’s authority, and shall be conducted as described in these Bylaws. A Regular Meeting may take place in-person, via telephone, videoconference, or through a group chat application.
A. Attendees: Only Security Council Members will be permitted to attend Regular Meetings, provided that the Security Council may permit any Foundation Representative to attend Regular Meetings, and may provide the Foundation Representatives with any and all information relevant to the business of a Regular Meeting. A Security Council Member may invite a non-Foundation Representative third party to observe or participate in Security Council discussion or to take notes of the Regular Meeting, subject to a simple majority vote of the other Security Council Members. The third party must be bound by a non-disclosure agreement with the Foundation or with the member that invited the third party.
B. Quorum: Regular Meeting quorum requires at least: three (3) Security Council Members. A Regular Meeting may not proceed without a quorum, noting that: (i) any invited Foundation Representatives will not be counted towards the satisfaction of a quorum for a Security Council Vote; and (ii) any invited non-Foundation Representative third party will not be counted towards the satisfaction of a quorum.
C. Meeting Notes: The Security Council may appoint a Security Council Member, Foundation Representative, or an authorized third party to take notes of the Regular Meeting (the "Meeting Notes"). Subject to a reasonable Security Council review and comment period chosen by the Security Council, Meeting Notes will be shared publicly with the community on ME’s governance documentation page (https://github.com/me-foundation/mip). Meeting Notes may exclude the following topics, which may be discussed at a Regular Meetings from time to time: (I) individual financial or investment positions of Security Council Members; (II) unremedied security vulnerabilities affecting the ME Network, or other projects therein; (III) Foundation activities that are confidential or subject to non-disclosure agreements with third parties; or (IV) compensation information of Security Council Members and Foundation Representatives. - Security Council Emergency Meetings: In response to a Security Threat, the Security Council may convene irregularly scheduled emergency meetings (“Security Council Emergency Meetings”) in order to conduct Emergency Actions (as that term is defined in the ME DAO Constitution) in accordance with the ME DAO Constitution. Each member of the Security Council shall have: one (1) vote in Emergency Meetings. The same rules that apply to Regular Meetings will apply to Emergency Meetings, except that:
A. Attendees: an Emergency Meeting may be convened with reasonable notice to Security Council Members or the Foundation Directors;
B. Quorum: there is no quorum requirement for an Emergency Meeting; and
C. Meeting Notes: the Security Council will take best commercial efforts to publish Meeting Notes from Security Council Emergency Meetings and/or a full transparency report explaining what was done and why such Emergency Actions were taken not later than thirty (30) business days’ after the Security Threat has been resolved, provided that the Security Council may choose to not publish Meeting Notes from Security Council Emergency Meetings or a transparency report until the underlying Security Threat has been remedied or judged to no longer be a threat, in the Security Council’s sole discretion. - Advisory Meetings: A portion of the Security Council may convene irregularly scheduled advisory meetings, with such meetings being neither a Regular Meeting nor qualifying as an Emergency Meeting ("Advisory Meetings"). Advisory Meetings enable the Security Council to discuss a specific subject matter among a smaller group of Security Council Members. The same rules that apply to Regular Meetings will apply to Advisory Meetings, except that:
A. Quorum: there is no quorum requirement for an Advisory Meeting;
B. Limitations: no Security Council Member may introduce a Security Council Proposal (as defined below) or vote on any outstanding Security Council Proposal at an Advisory Meeting; and
C. Meeting Notes: the Security Council may or may not publish Meeting Notes from Advisory Meetings, at its discretion.
- Regular Meetings: The Security Council may convene every four (4) weeks, or at its discretion, subject to a reasonable amount of notice to Security Council Members (each, a “Regular Meeting”). Regular Meetings enable the Security Council to vote on MIPs and take any other acts within the Security Council’s authority, and shall be conducted as described in these Bylaws. A Regular Meeting may take place in-person, via telephone, videoconference, or through a group chat application.
- Security Council Proposals
- Any Security Council Member may raise proposals for actions to be taken by the Security Council Members (a “Security Council Proposal”), among the Security Council Members, outside of the meetings set out in Section 4(f) (in any written medium, including a Telegram chat) and outside of the MIP Process.
- After a Security Council Member makes a Security Council Proposal, the Security Council should discuss the Security Council Proposal, giving sufficient time for dissenting views. Security Council Members should also describe any conflicts of interest.
- Security Council Members may request that any Security Council Proposals made outside of Regular Meetings be deferred to a Regular Meeting for a fuller discussion. The Security Council may choose to discuss such Security Council Proposal during the next scheduled Regular Meeting or to schedule a Regular Meeting more immediately.
- In order for a Security Council Proposal to pass: (A) a full quorum of the Security Council Members must participate; and (B) at least a simple majority vote of the Security Council Members votes “Yes”. If a Security Council Proposal passes, the Security Council will take best commercial efforts to publish meeting notes and/or a full transparency report explaining what was done and why such actions were taken, not later than thirty (30) business days’ after the date of the Security Council Proposal, provided that the Security Council may choose to not publish meeting notes or the transparency report in its reasonable discretion.
- Compensation of Security Council Members
- Initially, the Security Council Member position will be paid an amount equal to USD$40,000, which shall be paid, at the election of the Foundation, in: (a) USDC; or (b) $ME (in which case, the amount of $ME will be calculated at a conversion price equal to the trailing seven (7) day time weighted average price of $ME recorded on https://coinmarketcap.com/). Any changes to the Security Council Member compensation shall be subject to approval by Tokenholders in accordance with the MIP Process.
5. Administrator
- Appointment of Administrators
- The Administrators are service providers to the Foundation initially appointed by the Foundation Directors by directors' resolution and thereafter by the Tokenholders by Tokenholder Vote, who serve for a period of twelve (12) months from the date appointed (any such period, an “Administrator Term”). An Administrator Term shall be automatically extended until such time as the Administrator is terminated or replaced pursuant to Section 5(b).
- Removal of Administrators
- An Administrator may be removed by Tokenholders via the MIP Process or by the Foundation Directors by directors’ resolution.
- Role of the Administrators
- Administrators are persons or entities engaged by the Foundation to oversee the MIP Process, implement MIPs, and administer other matters as determined by Tokenholders from time to time, including those described in the ME DAO Constitution. Subject to the terms of the Foundation Documents, all actions of the Administrators, as the Foundation’s service providers, remain subject to review and veto by the Foundation Directors.
- The Administrator may not bring forward an MIP in their capacity as the Administrator or otherwise act without: (i) direction by the Tokenholders by Tokenholder Vote; or (ii) direction of the Foundation Directors.
- Compensation of Administrators
- Administrator compensation shall be initially determined by the Foundation Directors by directors’ resolution in accordance with the Foundation Articles. Thereafter, Administrator compensation shall be determined by Tokenholders pursuant to MIPs in accordance with the MIP Process.
6. Relationship between the Foundation, Foundation Directors and Tokenholders.
- The Foundation represents Tokenholders' interests in contracts and other legal matters, including regulatory compliance and matters set forth in the Foundation Articles.
- The Foundation has engaged certain third parties to provide services as the Foundation Directors and Foundation Supervisor, as required by Cayman Islands Law. Subject to the terms of the Foundation Documents and Cayman Islands Law, the Foundation Directors and Foundation Supervisor are required to act at the direction of the Tokenholders, unless the Foundation Director exercises its authority in accordance with Section 3(c).
- Tokenholders have the authority to make certain decisions in relation to the Foundation as set forth in the Foundation Documents. To the extent there is ever a conflict between the decisions of the Foundation and the Tokenholders, the decisions of the Tokenholders will prevail, subject to the terms of the Foundation Documents and compliance with relevant laws or regulations, including Cayman Islands Law. To the extent there is ever a conflict between the provisions of the Bylaws and the Foundation Articles, the Foundation Articles will prevail.
- The Foundation shall take appropriate, good faith measures to ensure it has sufficient authority and resources, including funding, to execute upon the Mission, meet the Foundation’s obligations under applicable law, and satisfy the Foundation’s contractual obligations entered into in accordance with the Foundation Documents.
- The Foundations Directors are authorised to take any actions on behalf of the Foundation reasonably necessary to give effect to a ME Resolution, including passing any director resolutions to memorialise such vote.
- Foundation Directors do not have any fiduciary duties to the Tokenholders.
7. Third Party Service Providers.
- The ME DAO is encouraged to engage with third-party service providers as reasonably necessary for the function and growth of the ecosystem. To engage the Foundation with third-party service providers, a Tokenholder may submit an MIP in accordance with the MIP Process.
8.Dispute Resolution.
- Should a controversy, dispute or claim arise out of or in relation to these Bylaws (“Dispute”), the Foundation, the Foundation Directors, the Security Council and/or the Foundation Supervisor or the Tokenholders (as appropriate) must give thirty (30) days' written notice of such Dispute to the relevant parties (the “Notice of Dispute”). Should the Dispute not be resolved at the expiration of thirty (30) days after service of the Notice of Dispute, the relevant party may commence arbitration proceedings in accordance with paragraph (b) below. In any dispute involving the actions of the Foundation Directors or the Foundation Supervisor, the Foundation, and not the Foundation Directors or Foundation Supervisor, shall be party to the arbitration proceedings.
- Should the Dispute remain at the expiration of thirty (30) days after service of the Notice of Dispute, the Dispute shall be settled by arbitration administered by the International Centre for Dispute Resolution in accordance with its International Arbitration Rules (the “Rules”). The arbitration shall be seated in George Town, Grand Cayman and governed by Cayman Islands law. The language of the arbitration shall be English. The arbitration shall be determined by a sole arbitrator to be appointed in accordance with the Rules. Any award or decision made by the arbitrator shall be in writing and shall be final and binding on the parties without any right of appeal, and judgment upon any award thus obtained may be entered in or enforced by any court having jurisdiction thereof. No action at law or in equity based upon any claim arising out of or related to these Bylaws shall be instituted in any court of any jurisdiction.